1. Panoramica del metodo
Digestione umida: sciogliere il campione con acido cloridrico, acido nitrico e perossido di idrogeno. Determinare il piombo a una lunghezza d'onda di 283,3 nm utilizzando una fiamma neutra aria-acetilene.
2. Strumenti e Reagenti
2.1 Strumenti e attrezzature
2.1.1 Strumenti di prova
| Numero di serie. | Nome | Quantità | Requisiti tecnici | Accessori |
|---|---|---|---|---|
| 1 | Spettrofotometro di assorbimento atomico di fiamma | 1 set | Lampada a catodo cavo al piombo | |
| 2 | Acetilene | 1 cilindro | Purezza ≥ 99,99% | |
| 3 | Compressore d'aria |
2.1.2 Attrezzature di pretrattamento
| Numero di serie. | Nome | Quantità | Requisiti tecnici | Accessori |
|---|---|---|---|---|
| 1 | Piastra calda elettrica a temperatura controllata | 1 set | Temperatura nominale: temperatura ambiente ~ 300 ℃ | |
| 2 | Bilancio elettronico | 1 set | Sensibilità: 0,1 mg | |
| 3 | Sistema di acqua ultrapura | 1 set | ||
| 4 | Micropipetta | 1 ciascuno | 20 μL ~ 200 μL; 100 μL ~ 1000 μL | |
| 5 | Flacone volumetrico | Diversi | 100 ml | |
| 6 | Tubo di prova | Diversi | 25 ml |
2.2 Reagenti
2.2.1 Reagenti
| Numero di serie. | Nome | Requisiti tecnici | Osservazioni |
|---|---|---|---|
| 1 | Acido cloridrico | Reagente garantito | |
| 2 | Acido nitrico | grado MOS |
3. Procedure operative
3.1 Elaborazione del campione
3.1.1 Preparazione della soluzione di prova
Metodo sperimentale: Pesare 0,25 g del campione in un bicchiere, aggiungere 15 mL di acido misto (HCl: HNO) ₃: H₂ O = 6:1:7), riscaldare fino a dissolversi completamente e raffreddare. Trasferire in un fiasco volumetrico da 100 mL, diluire fino al marchio e mescolare bene. Zero con la soluzione vuota, e determinare a una lunghezza d'onda di 283,3 nm utilizzando una fiamma aria-acetilene.
3.1.2 Preparazione di soluzioni standard
- Preparazione della serie standard di piombo: pipettare con precisione 0,0, 0,1, 0,2, 0,4 e 0,8 mL di soluzione standard di piombo (1000,0 μg/mL) rispettivamente in fiastrini volumetrici da 100 mL, diluire fino alla marca con (1 99) acido cloridrico e mescolare bene. Le concentrazioni di questa serie di soluzioni sono 0,0, 1,0, 2,0, 4,0 e 8,0 μg/mL.
3.2 Prova del campione
- Condizioni di prova Condizioni di riferimento per la rilevazione dello spettrofotometro di assorbimento atomico della fiamma
| Elemento | Piombo |
|---|---|
| Lunghezza d'onda (nm) | 283.3 |
| Larghezza di banda spettrale (nm) | 0.4 |
| Corrente della lampada dell'elemento (mA) | 6.0 |
| Altezza del carburante (mm) | 6 |
| Portata di carburante (mL/min) | 1500 |
| Pressione del compressore d'aria (MPa) | 0.22 |
| Metodo di correzione dello sfondo | Nessuno |
- Regolare lo strumento allo stato di lavoro ottimale, accendere la fiamma, regolare il flusso di carburante, testare le soluzioni standard e le soluzioni di campione in sequenza, leggere i dati, inserire il peso del campione e controllare e registrare i risultati.
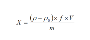
3.3 Calcolo dei risultati

Dove:
X — Contenuto di piombo nel campione, in milligrammi per chilogramma (mg/kg);
ρ — Concentrazione massica di piombo nella soluzione del campione da testare, in microgrammi per millilitro (μg/ml);
ρ₀ — Concentrazione massica di piombo nella soluzione vuota, in microgrammi per millilitro (μg/ml);
f — Fattore di diluizione della soluzione di digestione del campione;
V — Volume totale della soluzione di digestione del campione, in millilitri (mL);
m — Masso del campione, in grammi (g).