- Panoramica del metodo
Dopo la digestione, il campione viene atomizzato in un forno di grafite e l'assorbinza viene misurata a 283,3 nm. All'interno di un certo intervallo di concentrazione, l'assorbimento del piombo è proporzionale al suo contenuto e l'analisi quantitativa viene eseguita in confronto con una serie standard.
- 2. Strumenti e Reagenti
2.1 Strumenti e attrezzature
2.1.1 Strumenti di rilevamento
Spettrofotometro di assorbimento atomico forno di grafite (lampada a catodo cavo a piombo)
Sistema di acqua circolante di raffreddamento (flusso nominale della pompa: 3,5 L/min)
Gas di argone (Purity≥99.99%)
2.1.2 Attrezzature di pretrattamento
Micropipette 1 ogni 100μL ~ 1000μL, 1000μL ~ 5000μL, 5 ~ 50μL
Fiascini volumetrici Diversi 10 mL, 100 mL
Temperatura nominale della piastra calda elettrica regolabile: temperatura ambiente ~ 300 ℃
Sensibilità di equilibrio analitico: 1 mg e 0,1 mg
Orologio Occhiali Diversi
Flacchini Erlenmeyer 150ml
2.2 Reagenti
2.2.1 Reagenti
Acido nitrico (grado MOS)
- 3. Procedure di funzionamento
3.1 Trattamento del campione
3.1.1 Preparazione della soluzione di prova
Pesare con precisione 1 ~ 2 g del campione (accurato a 0,001 g) in un fiasco Erlenmeyer, evaporare a secchezza su una piastra calda elettrica, aggiungere 10 mL di acido nitrico e digerire sulla piastra calda (condizioni di riferimento: 80 ° C / 1 h, 120 ° C / 1 h, 140 ° C / 2 h, 160 ° C / 2 h, riscaldamento fino a 180 ° C). Se la soluzione è marrone, aggiungere più acido nitrico e digerire fino a quando non viene emesso fumo bianco. La soluzione deve essere incolore, trasparente o leggermente gialla. Dopo il raffreddamento, diluire a 10 mL in un fiasco volumetrico con acqua e preparare contemporaneamente un vuoto di reagente.
3.1.2 Preparazione di soluzioni standard
1) Preparazione della soluzione intermedia standard di piombo (1,0 μg/mL):
Pipettare con precisione 0,1 mL della soluzione standard nazionale di piombo in un fiasco volumetrico da 100 mL e diluire fino al marchio con soluzione di acido nitrico (99) per ottenere la soluzione intermedia standard di piombo a 1,0 μg/mL.
- Preparazione della serie standard di piombo:
Pipettare rispettivamente 0,0, 0,5, 1,0, 2,0, 3,0 mL della soluzione intermedia standard di piombo (1,0 μg/mL) in fiastrini volumetrici da 100 mL e diluire fino al segno con acido nitrico (1999) per ottenere serie standard di piombo di 0,0, 5,0, 10,0, 20,0, 30,0 ng/mL.
3.2 Prova del campione
1) Condizioni di prova
Condizioni di riferimento per lo spettrofotometro ad assorbimento atomico in forno a grafite:
Lunghezza d'onda 283,3 nm
Larghezza di banda spettrale 0,4 nm
Corrente della lampada dell'elemento 2,0 mA
Metodo di correzione dello sfondo Lampada al deuterio
Volume di iniezione 15 μL
- Test del campione
Misurare l'assorbinza delle soluzioni standard, della soluzione di prova vuota e della soluzione di prova in sequenza. Sottrarre l'assorbinza della soluzione standard zero da quella di ogni soluzione standard, tracciare una curva di lavoro con la concentrazione di massa come abscissa e l'assorbinza corrispondente come ordinata. Determinare la concentrazione di massa di piombo nella soluzione di prova sulla base della curva di lavoro in base alla sua assorbinza misurata.
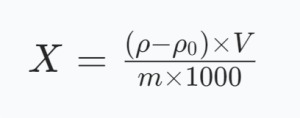
3.3 Calcolo dei risultati
Dove:
X: contenuto di piombo nel campione, in milligrammi per chilogramma (mg/kg);
ρ: concentrazione massica di piombo nella soluzione del campione, in nanogrammi per millilitro (ng/mL);
ρ0: concentrazione massica di piombo nella soluzione vuota, in nanogrammi per millilitro (ng/mL);
V: Volume della soluzione di digestione del campione dopo un volume costante, in millilitri (mL);
m: peso del campione, in grammi (g);
1000: coefficiente di conversione.
